TECHNOLOGYTemperature and Pressure Ratings

About Temperature and Pressure rating

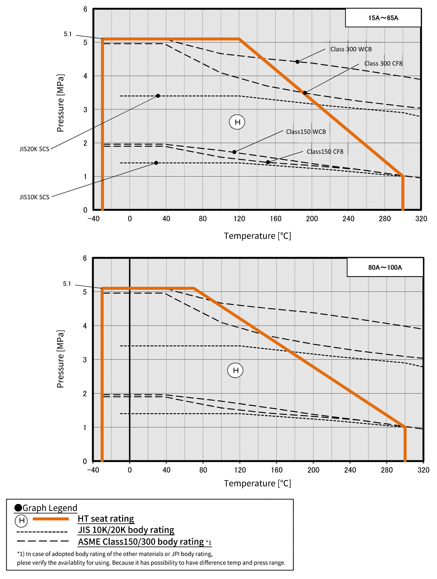
The allowable pressure and temperature range of a ball valve are ranges that satisfy the body rating specified for each nominal pressure (class) and material, and seat rating of the ball seat material.
Make sure to use within both rating ranges, as well as the maximum specification temperature ranges for the gland packing and gaskets.

Temperature and pressure rating of 2-way soft seat ball valves

Temperature and pressure rating of PTFE ball seats (Strengthened for use at 300°C)