技術資料温度・圧力レーティング
温度・圧力レーティングとは
ボールバルブの許容圧力・温度範囲は呼び圧力(クラス)・材料ごとに定められているボディレーティングとボールシート材料のシートレーティングの両方を満たす範囲です。
ご使用の際は両レーティング範囲内、かつグランドパッキン及びガスケット最高仕様温度範囲内としてください。
2方ソフトシートボール弁 温度・圧力レーティング
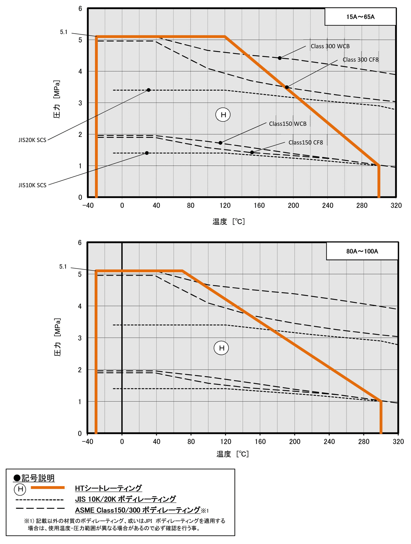
300℃対応強化PTFEボールシート 温度・圧力レーティング
ボールバルブの許容圧力・温度範囲は呼び圧力(クラス)・材料ごとに定められているボディレーティングとボールシート材料のシートレーティングの両方を満たす範囲です。
ご使用の際は両レーティング範囲内、かつグランドパッキン及びガスケット最高仕様温度範囲内としてください。